2023 | Osaka, Japan

Cleaner fish (Labroides dimidiatus) self-recognition

The image above could be a motivational poster. From the bigger fish’s perspective—it’s a pufferfish, by the way—there’s probably a message about tolerance and seeing the intrinsic value of those smaller or less powerful than you. And the smaller fish could be a model for confidence, for getting the job done no matter what.

Our post today is about that adventurous stripy smaller fish, the bluestreak cleaner wrasse (Labroides dimidiatus). And while we’re not judging its confidence, we are aiming to get inside its head. We’re taking a closer look how at we use other animals as tools for understanding our own uniqueness, holding a literal mirror up to our sense of self.

Know thyself

The shelves at the Laboratory for Animal Sociology at Osaka Metropolitan University (until last year Osaka City University) are lined with dozens of smallish tanks. When the experiments are running, each holds a single cleaner fish, originally caught in the wild from their reef homes and now living on a daily piece of diced shrimp.

The clue to their usual occupation is in the name: in the wild each of these 6-8 cm long fish would be waiting at specific points around their local reef, ready to dart in and out of the mouth and gills of the larger fish that come by for a tune-up. The cleaners get a meal of parasites and dead skin (and sometimes a nibble of their client, if they can get away with it), and the big fish gets a healthier, longer life. This piece by Ed Yong has more on that relationship.

But for now we’re less interested in symbiosis than what the cleaner gets up to in their own time. That's what Masanori Kohda and his colleagues in Osaka have been exploring. Across a series of studies, they’ve been putting their collections of cleaner fish through an often controversial exam: the mirror test.

This classic test was popularised in a 1970 study by psychologist Gordon Gallup. He worked with four young, wild-caught chimpanzees that were transferred to the USA and each ‘placed by itself in a small cage situated in the corner of an otherwise empty room’. After isolating these presumably distressed animals for two days, Gallup put a mirror near the cage. Then, each chimpanzee was anaesthetised and painted with a red dye over one eyebrow and the top of an ear. After they woke up, the young apes used the mirror to examine and direct movements towards the marked areas, which Gallup saw as evidence that they recognised themselves. In his words:

these data would seem to qualify as the first experimental demonstration of a self-concept in a subhuman form.

The ethics of animal studies have thankfully improved since 1970, although there remains more to do. (If you are put off by Gallup’s treatment of these chimpanzees I recommend instead reading the subsequent paper in that issue of Science, which is about the then-recently-gathered moon rocks from Tranquility Base.)

Reflections on recognition

In the intervening half-century, mirror self-recognition has become an important litmus test for deciding whether animals hold a concept of themselves as separate beings in the world. Gallup, meanwhile, has spent that time denying pretty much every non-ape report that comes in. He systematically denies the validity of subsequent scientific accounts of elephants, dolphins, magpies, manta rays, monkeys of various species, dogs, squid, and ants doing similar things to his captured chimpanzees. Self-recognition, in his view, is a special trait of just a few large primates.

So what about the fish? Earlier this month (February 2023), Kohda and his Osaka colleagues published their latest work on Labroides dimidiatus. To help you picture the set-up, here’s one of their test subjects, examining itself while reflected both at the water’s surface and in a mirror on one side of the tank:

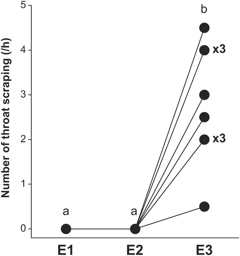
Because of the resistance to admitting self-recognition and self-awareness in other animals, the Osaka team followed a multi-step process. To begin with, they marked 10 fish in separate tanks with a small brown spot on their throat. The fish showed no reaction to their marking, the same as previous cleaner fish in earlier experiments. The researchers then added the mirror, but covered over, so that any odd reactions to the object itself could be tracked. Finally, they removed the cover and the fish saw themselves.

The results were clear. When marked with no mirror present, or with the covered mirror, the fish swam about as normal. Once the cover came off, though, each of the 10 fish began what the scientists call ‘throat-scraping’. The fish used the sandy bottom of their tank and an added rock to rub their undersides, which shows that it was the marked part of their body that the fish were trying to make contact with. The brown spot resembles a small parasite, which cleaner fish really can’t stand. The careful experiments showed that the fish only knew the spot was there because they’d seen it in the mirror, and instead of trying to pick it off the ‘other’ fish, they acted correctly in trying to scrape it off their own body.

In this short clip from the study, the cleaner fish sees the annoying brown spot in the mirror, and makes a series of quick darting scrapes against the sand and rock in its tank. Remember that the only reason it thinks there’s something to remove is because of what it sees in the reflection—it doesn’t otherwise sense the spot:

Across the ten fish, the chart of the results is about as unambiguous as you can get in animal behaviour studies (E1 is before marking, E2 is marked fish with covered mirror, and E3 is once the fish see their reflection):

The results would be enough in 1970 to prove that cleaner fish had self-recognition, and a ‘self-concept’. We’d be able to sit back and marvel at the self-awareness of these amazing marine creatures. But these days we need more: perhaps the fish are somehow matching their movements to the mirrored wrasse instead of explicitly tending to their own bodies. So the Osaka scientists asked a further pertinent question: if these animals really are recognising themselves, what exactly are they paying attention to? In humans, it would be the face, which we spend a lot of time watching and from which we get a lot of clues about identity. Could it be the same for these fish? Time for their close-up.

Face/off

The scientists photographed each fish, them used image software to play with the results. They made up little Franken-fish photos, with the fish’s head either on its own body (self or S) or that of an unknown stranger (U). For good measure they also put a stranger’s face on the original fish’s body, and included a photo of the complete unfamiliar fish. The result is four apparently unique animals. The idea was that the wrasse should react differently to these police-sketch mash-ups if it is using only part of the body when it decides ‘yep, that’s me in the mirror’.

The study includes one of my favourite scientific diagrams, showing how the face-switch was done:

In this second experiment it wasn’t scraping that mattered, but each wrasse’s direct reaction to a given photo. If they’re focused on faces, then they should react aggressively when they see another fish’s head, and calmly to their own unthreatening face. Each of the animals was tested before and after they were exposed to the marked mirror self recognition (MSR) test, since the mirror was the reason that the animals knew what their own face looked like in the first place.

Again, the results were straightforward. Once they’d spent time getting to know their mirrored self, the fish acted aggressively to a photo with an unfamiliar face, no matter which body it was on. And when they saw their own face they were fine with it, even if the body was wrong. The wrasse really are recognising themselves—via their faces—as distinct individuals. When they see a mirrored version of their body with a possible parasite, they act just as you or I might if we looked in a mirror and saw a spider on our shoulder. They want it gone.

In this chart, the SS and SU photos are the ones with the wrasse’s correct face. After a brief startle from seeing the photo, the cleaner fish apparently realises it’s just a self-portrait, and calms down. Show them the wrong face, though, and they remain aggressive for several minutes:

The photos even worked when the researchers added a parasite mark: most of the fish scraped themselves when they saw their own marked photo, but none scraped if shown their own clean photo, or the marked/parasitic photo of another fish.

Philosofish

Where does this leave us? The experiments are excellent evidence that members of this marine species can develop and act on a mental picture of what they look like. They learn that the fish in the mirror is themselves, they remember their own face afterwards, and it guides their behaviour. Does this mean that they also have a rich inner thought process, ruminating on the perilous state of their home reef while they slip into yet another open mouth and pick off a parasite? Perhaps, but probably not.

As Kohda and his colleagues discuss, the experiments reveal that different species can reach the same end point with very different bodies and brains:

our results suggest that nonlinguistic animals, such as cleaner fish, have the ability for mental states and process MSR comparable to humans. Our results therefore demonstrate the need to reconsider the assumed importance of inner speech for higher cognitive functions, including self-awareness.

It may be that the mirror test tells us more about how animals learn about their bodies than it does about their mental agility. That suggests we should probably look with fresh eyes at previous successes and failures of other species at the same task. But we should not be too hasty to rule out the complexity of cleaner fish cognition either. A social animal that spends its days negotiating in extremely close quarters with larger members of other species is unlikely to be a mindless robot. The fact that fish don’t think exactly like humans is not a deficit in them, in fact it’s a strong positive for how they go about their lives.

We also should not overlook the fact that these little fish learned to recognise themselves, and act accordingly, under highly artificial conditions imposed by their human captors. They were very much out of their depth. Whatever conclusions we may want to draw about their intelligence or self-awareness (and by extension our own), these fish have nothing to prove to us. Instead we should be grateful to them, for pushing us a small step further along the path towards accepting that other animals are just as remarkable as we like to think we are.


Sources: Kohda, M., et al. (2023) Cleaner fish recognize self in a mirror via self-face recognition like humans. Proceedings of the National Academy of Sciences 120:e2208420120 || Gallup, G. (1970) Chimpanzees: Self-Recognition. Science 167:86-87. || Gallup, G. & J. Anderson (2020) Self-Recognition in Animals: Where Do We Stand 50 Years Later? Psychology of Consciousness 7:46–58.

Main image credit: QI; https://twitter.com/qikipedia/status/750316220675657728 || Second image credit: Animal Sociology Laboratory, Graduate School of Science, Osaka Metropolitan University || Video credit: Science X; https://www.youtube.com/watch?v=Ujy9EmUzN4E || Third to fifth image credits: Kohda et al. (2023)

Previous
Previous

1868 | Lapwai Creek, Idaho, USA

Next
Next

1699 | The Philippines